IL LESSICO GLBTQIA. UN’ANALISI SOCIOLINGUISTICA SUL CAMPO
Convegno Genere e linguaggio: i segni dell’uguaglianza e della diversità
Napoli 4-5 dicembre 2014
Francesca Dragotto e Eleonora Caravello – Università di Roma Tor Vergata
ABSTRACT
Oggetto della ricerca, la distribuzione e numero di occorrenze dei termini utilizzati all’interno della comunità GLBTQIA (acronimo preferito, per ragioni di inclusività, a LGBT) per rivolgersi alle persone del proprio gruppo di appartenenza (ingroup).
Nato da una ricerca sul campo che ha previsto la raccolta di 200 interviste (in parte anche registrate) all’interno di luoghi selezionati della comunità GLBTQIA di Roma (raccolta avvenuta nel periodo maggio 2012 – dicembre 2013, in principio finalizzata alla costituzione del corpus di una tesi in linguistica e sociolinguistica), lo studio offre una sintesi dell’analisi ottenuta dallo spoglio delle risposte fornite dagli intervistati ai questionari semistrutturati loro proposti.
31 i quesiti proposti in occasione di ciascuna intervista, idealmente articolati in blocchi volti a elicitare dati concernenti:
a) i dati anagrafici dell’informante (età, luogo di nascita, luoghi di residenza, comprendenti anche il quartiere per coloro che vivono nella città di Roma, ripartita ai fini dell’indagine in 4 quadranti)
b) propria collocazione all’interno della comunità (gay, lesbica, bisex, F to M, M to F, queer, intersex, asessuale, altro)
c) percezione della propria identità sessuale (completamente uomo, soprattutto uomo, donna e uomo, completamente donna, soprattutto donna, né donna né uomo, altro)
d) il grado e il tipo di istruzione e la professione svolta
e) il grado e il tipo di istruzione e la professione svolta dai genitori
f) le modalità con cui vengono/sono stati affrontati in casa i temi dell’omosessualità
g) il grado di sensibilità (meta)linguistica (capacità di riconoscere le lingue e i dialetti usati nei diversi contesti della propria vita, familiare e non)
h) l’appartenenza a una comunità religiosa e, in caso affermativo, le ragioni che hanno indotto alla scelta proprio di quella data comunità
i) il destinatario / i destinatari della propria attrazione sentimentale e sessuale
l) l’eventuale coming out e le ragioni che hanno spinto a farlo o no
m) lo svolgimento della propria vita all’interno della comunità GLBTQIA
n) la capacità di riconoscere, al di fuori della comunità GLBTQIA, altri potenziali appartenenti alla comunità
o) la partecipazione a litigi verbali all’interno della comunità GLBTQIA, in primis in riferimento alla natura delle offese scambiatesi tra i litiganti (con distinzione tra l’aver assistito e l’aver partecipato in prima persona al litigio)
p) la posizione personale nei confronti di possibili ripartizioni in gruppi dei membri della comunità GLBTQIA.
Lo spoglio e l’analisi dei dati, che si è avvalsa anche della realizzazione di un consistente numero di infografiche volte a far risaltare, grazie alla sinossi, i risultati ottenuti, ha consentito di mostrare la riproposizione, all’interno della comunità GLBTQIA, di stereotipi, ideologie, forme allocutive, scommatiche, eufemistiche e disfemiche che non si distaccano sensibilmente, fatta qualche eccezione, da quelle impiegate dai membri della comunità eterosessuale per marcare gli appartenenti alla comunità GLBTQIA.
Al fine di verificare l’eventuale incidenza del fattore diamesico, si è inoltre provveduto a raccogliere un corpus di sms e di testi di conversazioni telematiche avvenute tra membri della comunità GLBTQIA e a confrontare i dati con quanto ricavato sull’oralità.
IL DATO (EXTRA)LINGUISTICO: NELLA COMUNITA’ GLBTQIA
Gay
Gay: s. m. e f. ‘omosessuale’ (1959, A. Arbasino: Cortellazzo-Cardinale)
Voce propria dell’inglese d’America (1935), che ha sviluppato il nuovo significato dalla vecchia parola inglese gay ‘gaio’ (agg.), ‘galante’ (s.). È diventata d’uso internazionale, tanto che in Giappone, secondo C. A. Tripp […], si ritiene che il composto gaybar ‘bar per omosessuali’ sia voce giapponese (DELI, s.v.).
Gay: agg. invar. ‘omosessuale’. Anche sostantivo.
G. Staiano (Men, 22-V-1972): Un tantino di serietà nella vita, per quanto gay si possa essere, non guasta mai (mi) creda.
Corriere della sera 11-IX-1980: Minori restrizioni per l’ingresso dei “gay” negli USA
Tondelli, 100: Siamo insieme a tre ragazzi francesi, gay simpatici e furbi che non strafanno come le superchecche di casa nostra e sono anche molto belli
- Che è proprio, che si riferisce, che è relativo agli omosessuali.
Arbasino, I-47: Con tutti i suoi parties gay di qui e parties gay di là era in Italia dal tempo della guerra e si era familiarizzato col nostro modo di fare
- Frequentato da omosessuali (un locale).
- Improntato a tematiche omosessuali (un tipo di cinema, di letteratura, ecc).
Voce ingl. americ. (nel 1935), come evoluzione del significato ‘allegro’, ‘licenzioso’ (GDLI, s.v.).
Gay: termine di origine ingl., propr. ‘gaio, galante’, ma anche ‘omosessuale’.
Secondo Lotti e Borneman, lo spostamento semantico potrebbe risalire addirittura al provenzale gai, proprio del linguaggio delle corti, in cui l’omosessualità era assai comune. La diffusione nel mondo anglosassone risale agli inizi del secolo, mentre in Italia la voce fa la sua comparsa nei primi anni ’70 (cfr. DELI e CORTELAZZO-CARDINALE).
È evidente che il mercato pseudo-artistico è invaso dai da gay che di professione fanno i gay pentiti (o i gay orgogliosi, che è la forma più subdola del pentimento) (Busi, Sodomie, 297).
“Non mi comprometta anche questa” protesta Bluebell facendo l’imitazione di un gay (Busi, Persone normali, 90) (Boggione-Casalegno, s.v.).
Lesbica
Lesbica: (s.f.) Omosessuale femmina; dal nome dell’isola di Lesbo, in Grecia, dove la tradizione vuole che tale tendenza sessuale fosse particolarmente diffusa. Agg.; alter. lesbicona (Boggione-Casalegno, s.v.).
Propr. donna abitante dell’isola di Lesbo. L’ipotesi di Bonnet è che nonostante Brantôme lo usasse già alla fine del 1500, lesbienne si sia diffuso in Francia solo dopo la pubblicazione e la condanna per oltraggio nel 1857 delle poesie di Baudelaire (che però non lo usa).
Emma Donoghue individua invece tribades e lesbians come sostantivi in un poemetto del 1732 (The Toast, di William King) (Milletti 1996 e http://www.ellexelle.com/html/dizionario/les10.htm).
Bisex / Bisessuale
Bisex: agg. e s. m. e f.[da bisessuale, per influsso dell’ingl. sex].
1. Di persona attratta sessualmente da entrambi i sessi; anche s. m. e f.
2. agg. Di indumento adatto sia a uomo che a donna; più com. il sinon. unisex (TRECCANI.IT, s.v.).
Bisessüale: agg. e s. m. e f. [comp. di bi– e sesso].
1. agg.
a. Che ha i caratteri, e quindi anche, per lo più, l’aspetto, le tendenze, il comportamento, di entrambi i sessi, sinon. di ermafrodito.
b. In botanica, di fiore che ha stami e pistilli (sinon. monoclino).
2. s. m. e f. Persona che sente attrazione per ambedue i sessi (TRECCANI.IT, s.v.).
Transessuali / Transgender / Two spirits
Transessüale: s. m. e f. e agg. [comp. di tran(s)- e sessuale].
1. Persona il cui comportamento sessuale è caratterizzato dalla non accettazione del proprio sesso e dall’identificazione in quello opposto. Come agg.: un soggetto t.; tendenza, comportamento transessuale.
2. Chi ha assunto, attraverso un intervento chirurgico, i caratteri somatici dell’altro sesso: un t., una transessuale. Spesso abbreviato in trans (TRECCANI.IT, s.v.).
Transgender: s. ingl. [comp. di trans «al di là» e gender «genere sessuale»] (pl. trans-genders), usato in ital. al masch. e al femm. (e comunem. pronunciato ⟨transǧènder⟩). – Chi si identifica in modo transitorio o persistente con un genere diverso da quello assegnato alla nascita; anche come agg.: identità transgender.
Two-spirit: is a gender identity. If someone is two-spirited, their body simultaneously houses both a masculine spirit and a feminine spirit. This idea originated with Native Americans, and can also mean that they fulfill both gender roles (URBANDICTIONARY.COM, s.v.).
Queer
Queer: s. ingl. [etimo sconosciuto], usato in ital. come agg. e s. m. e f.
1. Omosessuale: la filmografia, la letteratura queer.
2. estens. strano, ambiguo, stravagante e sim., anche con valore spregiativo.
La teoria queer nasce negli Stati Uniti negli anni Novanta, al punto di incrocio tra le riflessioni sul genere e la sessualità e gli studi gay e lesbici. A introdurre questo termine è stata Teresa De Lauretis nel 1991, la quale ne suggerisce l’uso in sostituzione della formula gay e lesbica comunemente utilizzata per indicare la realtà omosessuale nel suo insieme, ma ritenuta inadatta a tener conto delle differenze tra gay e lesbiche. Nella lingua inglese, queer significa bizzarro, strano, fuori dall’ordinario e nel corso del Novecento è diventato anche un termine spregiativo per indicare gli omosessuali. La riappropriazione di questo termine aveva dunque lo scopo di dare una scossa al discorso omosessuale, che andava sempre più adagiandosi sull’idea di un’identità condivisa tra gay e lesbiche, determinata dalla comune oppressione e discriminazione, lasciando sullo sfondo le differenze e il loro portato trasgressivo. A partire da questo primo uso della parola, queer è diventato con gli anni un termine ombrello dai significati molteplici e a volte in contraddizione tra loro (Del Pozzo – Scarlini 2006).
Intersex
Intersex: a congenital anomaly of the reproductive and sexual system. Intersex people are born with external genitalia, internal reproductive organs, and/or endocrine system that are different from most other people. There is no single “intersex body;” it encompasses a wide variety of conditions that do not have anything in common except that they are deemed “abnormal” by society. What makes intersex people similar is their experiences of medicalization, not biology. Intersex is not an identity. While some intersex people do reclaim it as part of their identity, it is not a freely chosen category of gender–it can only be reclaimed. Most intersex people identify as men or women, just like everybody else (URBANDICTIONARY.COM, s.v. ).
Gli intersessuali, ai quali popolarmente ci si riferisce come “ermafroditi”, sono le persone che nascono con genitali intermedi tra maschio e femmina, raramente con i due apparati al completo come nelle leggende. Il numero di tali nascite è maggiore di quanto i più ritengano: la letteratura riferisce, per gli Stati uniti, di una percentuale superiore al 4% delle nescite, da tradursi in dieci milioni di bambini l’anno.
Asessuali / Ally
Asessüale: agg. [comp. di a– priv. e sessuale].
1. In biologia, della riproduzione che avviene senza l’intervento dei gameti, contrapposta alla riproduzione sessuale.
2. Privo di richiamo sessuale; che non ha attinenza con il sesso, che è privo di riferimenti a fenomeni e fatti sessuali. Avv. asessualménte, in modo asessuale, agamico: organismi che si riproducono asessualmente; senza attinenza con il sesso o con fatti sessuali: concepire asessualmente un rapporto tra uomo e donna.
Ally: a straight person who supports LGBT rights (URBANDICTIONARY.COM, s.v.).
Al di fuori dell’Italia la a– ricorre, in alternativa a asexual, per allies, letteralmente ‘alleati’, nel senso di persone eterosessuali che abbracciano la causa GLBTQIA.
SCOPO DELLA RICERCA
Condurre un’analisi sul campo adottando una prospettiva interna alla comunità GLBTQIA al fine di raccogliere un corpus di dati relativo alle modalità allocutive vigenti all’interno della comunità.
Analizzare il corpus così ottenuto in senso sia (meta)linguistico che sociolinguistico.
PERCHÉ ANALISI SUL CAMPO?
Perché non erano presenti altri studi linguistici sulle stesse tematiche (cfr. progetto NISO i cui destinatari principali sono però studenti, insegnanti, associazioni di insegnanti. La comunità LGBT rientrava tra i target-groups secondari. Per entrambi gli obiettivi le relazioni previste non sono state pubblicate).
Per poter studiare il comportamento linguistico attraverso la comunicazione in vivo: nello specifico, studiare la distribuzione e il numero di occorrenze dei termini utilizzati all’interno della comunità GLBTQIA per rivolgersi alle persone del proprio gruppo (ingroup).
ELICITAZIONE DEI DATI
Attraverso questionari somministrati
– Tempi:
- novembre 2011 – ottobre 2012
– Luoghi:
- (ex) Arcigay Roma
- gay street
- gay Village
- cerchia di conoscenze
- Specifiche questionario
- questionario semi strutturato
- impiego di distrattori: indagine di natura psicologica e sociologica sull’omofobia
IL QUESTIONARIO
1.Età / Luogo di nascita / Vivi a
2.Sesso biologico di appartenenza (C)
3.All’interno della comunità ti identifichi come (C)
4.Come ti senti (C)
5.Che lavoro fai
6.In che quartiere/zona abiti?
7.Titolo di studio (C)
8.Qual è il titolo di studio di tuo padre? (C)
9.Che lavoro fa tuo padre?
10.Qual è il titolo di studio di tua madre? (C)
11.Che lavoro fa tua madre?
12.Come vengono affrontati in casa i temi legati all’omosessualità? (C)
13.Quale/i lingua/e parli a casa?
14.Appartieni ad una comunità religiosa? Se sì quale? (C)
15.Vi appartieni in maniera consapevole? (C)
16.Per chi provi attrazione? (C)
17.Hai fatto coming out? (C)
18.Puoi dirmi il perché?
19.Come vivi la tua vita all’interno della comunità GLBTQIA?
20.Ti capita di “riconoscere” al di fuori dell’ambiente gay altre persone potenzialmente appartenenti alla comunità? Se sì, su quali basi ritieni possano appartenere alla comunità (GLBTQIA)?
21.Hai mai assistito ad una discussione accesa/litigio tra membri della comunità GLBTQIA? Se sì, quali offese si scambiavano?
22.Ti è mai capitato di discutere con qualcuno appartenente alla comunità? Se sì, quali offeseti sono state rivolte?
23.Generalmente con quali termini ti rivolgi a chi appartiene alla comunità (GLBTQIA)?
24.Conosci dei gay? Secondo te esistono delle caratteristiche che li accomunano o li differenziano tra loro? Se sì, quali sono?
25.Conosci delle lesbiche? Secondo te esistono delle caratteristiche che le accomunano/differenziano?
26.Cosa pensi in merito ai bisessuali, e alla bisessualità? Ne conosci?
27.Conosci dei/delle transessuali? Cosa ne pensi?
28.Conosci persone intersex? Cosa ne pensi?
29.Conosci persone asessuali? Cosa ne pensi?
30.Cosa pensi della definizione di Queer?
31.Vuoi aggiungere qualcosa?
Nel caso delle domande identificate da una (C) è stata fornita all’informante una scelta di possibilità di risposta. Nello specifico
domanda 2: maschio / femmina /intersex
domanda 3: gay / lesbica / bisex / FtoM / MtoF / queer / intersex / asessuale / altro
domanda 4: completamente uomo / soprattutto uomo / completamente donna / soprattutto donna / donna e uomo / né donna né uomo / non so / altro (specificare)
domande 7, 8 e 10: scuola elementare / scuola media / scuola superiore / laurea / master o oltre / altro (specificare)
domanda 12: con comprensione / con apertura / rifiutano totalmente di affrontare temi simili / fingono di non vedere / altro
domanda 14: cattolica / protestante / ortodossa / ebrea / musulmana / altro (specificare)
domanda 15: sì / no, vi appartengo soloperché altri hanno scelto per me / altro (specificare)
domanda 16: soloper gli uomini / solo per le donne / sia per gli uomini sia per le donne / soprattutto per gli uomini / soprattutto per le donne / non lo so / altro (specificare)
domanda 17: sì / no
domanda 19: associazioni / locali / altro (specificare)
Le risposte al questionario sono state registrate dall’intervistatore o scritte direttamente dall’intervistato che ne avesse fatto richiesta.
IL CAMPIONE
a) Il sesso biologico dichiarato dagli intervistati.
Sono stati somministrati 200 questionari rispettivamente a:
102 donne (genere biologico dichiarato) = 51%
97 maschi (genere biologico dichiarato) = 48%
1 che non dichiara il sesso biologico di appartenenza = 1%
b) L’età dichiarata dagli intervistati.
Età di F:
52 tra 15 e 24 anni (51%)
39 tra 25 e 34 anni (38%)
8 tra 35 e 44 anni (8%)
2 over 45 anni (2%)
1 non dichiara l’età (1%)
Età di M:
48 tra 15 e 24 anni (50%)
30 tra 25 e 34 anni (31%)
14 tra 35 e 44 anni (14%)
4 over 45 anni (4%)
1 non dichiara l’età (1%)
c) (auto)biografia linguistica
dichiara di parlare solo italiano 73%
dichiara di parlare italiano e dialetto 14%
dichiara di parlareitaliano e una lingua straniera 6%
dichiara di parlare italiano e almeno due lingue straniere 2%
dichiara di parlare solo dialetto 2%
non risponde alla domanda 2%
dichiara di parlare solo tedesco (ma di capire l’italiano) 1%
Ciascuna casistica è stata poi correlata alla fascia di età dei relativi informanti.
Si riportano 2 esempi, il primo per la fascia 15-24
il secondo per la fascia 15-24
LA PROVENIENZA GEOGRAFICA DEL CAMPIONE (con indicazione dell’età)
Abruzzo 1 (35-44 anni)
Basilicata 1 (25-34 anni)
Calabria 6 (1 15-24; 3 25-34; 2 35-44)
Campania 6 (1 15-24; 4 25-34; 1 35-44)
Emilia Romagna 2 (1 25-34; 35-44)
Estero 11 (5 15-24; 3 25-34; 2 35-44; 1 over 45)
Lazio Roma e provincia 134 (83 15-24; 37 25-34; 10 35-44; 3 over 45; 1 nd)
Lazio province diverse da Roma 4 (3 25-34; 1 35-44)
Liguria 1 (15-24)
Lombardia 4 (1 15-24; 1 25-34; 1 35-44; 1 over 45)
Marche 1 (25-34)
Piemonte 3 (2 15-24; 1 25-34)
Puglia 10 (3 15-24; 4 25-34; 2 35-44; 1 over 45)
Sardegna 2 (2 25-34)
Sicilia 6 (2 15-24; 4 25-34)
Toscana 2 (1 25-34; 1 35-44)
Umbria 1 (25-34)
Veneto 2 (2 25-34)
non risponde 3 (2 15-24; 1 nd)
LA RESIDENZA GEOGRAFICA DEL CAMPIONE (con indicazione dell’età)
Lazio Roma e provincia 174 (90 15-24; 58 25-34; 19 35-44; 5 over 45; 2 nd)
Lazio province diverse da Roma o altre regioni o estero o non risponde 26 (11 15-24; 11 25-34; 3 35-44; 1 over 45)
IL CORPUS DI ALLOCUTIVI / EPITETI DICHIARATI
Sono stati raccolte 379 forme in risposta alla domanda 23.Generalmente con quali termini ti rivolgi a chi appartiene alla comunità (GLBTQIA)?
Il singolo intervistato aveva facoltà di elencare più forme.
L’elenco delle forme, per ordine di frequenza (“grezzo”), non tiene conto di alcuna variabile sociale relativa all’intervistato.
| Totale entrate corpus |
379 |
| LELLA | 31 |
| GAY | 24 |
| NESSUNO | 33 |
| FROCIO | 21 |
| NORMALI | 15 |
| LESBICA | 11 |
| PASSIVA | 10 |
| PER NOME | 9 |
| TROIA | 8 |
| FROCIO | 7 |
| LESBICA | 7 |
| QUALSIASI | 7 |
| CHECCA | 6 |
| COME CON TUTTI | 6 |
| AMÒ | 5 |
| AMORE | 5 |
| CON EDUCAZIONE | 5 |
| USO DI GENERE INVERTITO | 5 |
| SORELLA | 5 |
| LELLE | 4 |
| OMOSESSUALI | 4 |
| TESORO | 4 |
| ZOCCOLA | 4 |
| AMICO | 3 |
| BELLA | 3 |
| DELLA PARROCCHIA | 3 |
| GLI STESSI PER TUTTI | 3 |
| LELLACCIA | 3 |
| PUTTANA | 3 |
| SFRANTA | 3 |
| A FROCI | 2 |
| COME TUTTI | 2 |
| CRETINA | 2 |
| FAVOLOSA | 2 |
| FINOCCHIO | 2 |
| FROCETTO | 2 |
| FROCIA | 2 |
| PAZZA | 2 |
| SCHERZOSI | 2 |
| TRANSESSUALE | 2 |
| TRANSGENDER | 2 |
| A FROCIA | 1 |
| A KEKKA | 1 |
| A PASSIVA | 1 |
| A ROTTA ‘N CULO | 1 |
| AH FIGHE | 1 |
| NOMI AL FEMMINILE PER M |
1 |
| AMORE | 1 |
| BELLA CI’ | 1 |
| BELLI | 1 |
| BELLO/A | 1 |
| BISESSUALE | 1 |
| BISEX | 1 |
| BITCH | 1 |
| CAGNA | 1 |
| CAMION | 1 |
| CAMIONELLA | 1 |
| CAMIONELLE | 1 |
| CAMIONISTA | 1 |
| CAMIONISTE | 1 |
| CHECCA ISTERICA | 1 |
| CHECCA REPRESSA | 1 |
| CHECCA SFRANTA | 1 |
| CHECCHE | 1 |
| CHECCHE ESAURITE | 1 |
| CIUCCIAPISELLI | 1 |
| COL CULO A PIZZO | 1 |
| COLLEGHI | 1 |
| COMUNITÀ LGBTIQ | 1 |
| CORDIALMENTE | 1 |
| DA ESSERE UMANO (LI TRATTO DA) |
1 |
| DELLA FAMIGLIA | 1 |
| DELLA STESSA PARTE DELLA LUNA | 1 |
| DONZELLA | 1 |
| FINOCCHIO | 1 |
| FRATELLO | 1 |
| FROCETTI | 1 |
| FROCIO DI MERDA | 1 |
| GAYA | 1 |
| GAYETUDO | 1 |
| GAYO | 1 |
| GENERE CORRISPONDENTE | 1 |
| IN FAMIGLIA | 1 |
| INTERSESSUALI | 1 |
| ISTERICA | 1 |
| KEKKA | 1 |
| LA FAMIGLIA | 1 |
| LÈ | 1 |
| LE PARROCCHIANE | 1 |
| LECCAVONGOLE | 1 |
| LESBICA DI MERDA | 1 |
| LESBICACCIA | 1 |
| LESBICAZZE | 1 |
| LESBICHE DI MERDA | 1 |
| LESBICOZZA | 1 |
| LGBTQI IN AVVICINAMENTO | 1 |
| MAMI | 1 |
| MIGNOTTA | 1 |
| MUSCOLOSA | 1 |
| NOME E GENERE INVERTITI | 1 |
| NON ESISTONO TERMINI | 1 |
| NON FARE LA CHECCA | 1 |
| NON SO | 1 |
| NON TERMINI OFFENSIVI | 1 |
| OMO | 1 |
| OMOSEX | 1 |
| ORSETTO | 1 |
| PARROCCHIANO/DELLA PARROCCHIA | 1 |
| PASSIVA DEVOTA | 1 |
| PASSIVE | 1 |
| PAZZESCA | 1 |
| PERSONE | 1 |
| PERSONE ARCOBALENO | 1 |
| PRINCIPESSA | 1 |
| QUELLI DI SEMPRE | 1 |
| REGINA DELLE FESTE | 1 |
| RICCHIONE | 1 |
| RISPETTO QUALSIASI DECISIONE | 1 |
| RISPETTOSI, DA UMANO | 1 |
| ROTTOINCULO | 1 |
| SAFFO | 1 |
| SCHECCARE | 1 |
| SCHIETTI | 1 |
| SFRANTISSIME | 1 |
| SIGNORE | 1 |
| SISTER | 1 |
| SPONDA | 1 |
| STI FROCI DE MMERDA | 1 |
| STRONZI | 1 |
| TENDENZE (HA TENDENZE) | 1 |
| TERMINI AMICHEVOLI | 1 |
| TERMINI APPROPRIATI | 1 |
| TERMINI UMANI/NORMALI | 1 |
| TESÒ | 1 |
| TOLLERANZA E RISPETTO | 1 |
| TOMBOY | 1 |
| TORTI | 1 |
| TRANS | 1 |
| TRATTA COME VORREBBE ESSERE TRATTATO | 1 |
| TREMENDA | 1 |
| VECCHIA FROCIA | 1 |
| TOTALE ALLOCUTIVI/EPITETI | 276 |
| TOTALE RISPOSTE NON COMPRENDENTI ALLOCUTIVI/EPITETI | 103 |
La mancata risposta è stata considerata alla stregua di una risposta (nessuno); l’indicazione per nome è da intendersi letteralmente (l’informante sostiene di usare il solo prenome dell’interlocutore GLBTQIA in tutte le occasioni); come tutti, schietti, termini appropriati, termini amichevoli, termini umani / normali, non termini offensivi, da essere umano, cordialmente, scherzosi, come tutti, gli stessi per tutti, con educazione, normali corrispondono a risposte per lo più date per iscritto dagli intervistati e per questa ragione sono stati trattati come entrate lessicali.
Si è scelto di considerare come entrate lessicale autonome serie quali frocio-frocia-froci al fine di mantenere l’integrità della risposta fornita; per la stessa ragione non sono state sommate entrate tra loro affini, per es. frocia e ah frocia (scritto così).
La stessa lista è stata successivamente lavorata tenendo conto di alcune, significative, variabili.
1) M di nascita (i risultati sono state sottoarticolati tenendo conto delle risposte alla domanda Come ti senti?)
| COME SI SENTE | ALLOCUZIONI | TOTALE | |
| Me stesso | BELLO/A | 1 | |
| PER NOME | 1 | ||
| Me stesso Totale | 2 | ||
| Né Donna né uomo | GAY | 1 | |
| Né Donna Né uomo Totale | 1 | ||
| Non so | GAYO | 1 | |
| LELLA | 1 | ||
| NESSUNO/NO/N.D. | 1 | ||
| Non so totale | 3 | ||
| Ubermensch | FROCIO | 1 | |
| LELLA | 1 | ||
| Ubermensch Totale | 2 | ||
| Uomo | PARROCCHIANO/DELLA PARROCCHIA | 1 | |
| Uomo totale | 1 | ||
| BELLI | 1 | ||
| Totale | 1 | ||
| Soprattutto uomo | A FROCIA | 1 | |
| A PASSIVA | 1 | ||
| AMÒ | 2 | ||
| AMORE | 2 | ||
| CHECCA | 1 | ||
| CIUCCIAPISELLI | 1 | ||
| COME CON TUTTI | 1 | ||
| DA ESSERE UMANO | 1 | ||
| DONZELLA | 1 | ||
| FAVOLOSA | 2 | ||
| FINOCCHI | 1 | ||
| FINOCCHIO | 1 | ||
| FROCI | 2 | ||
| FROCIA | 1 | ||
| FROCIO | 2 | ||
| GAY | 1 | ||
| GENERE INVERTITO | 1 | ||
| LECCAVONGOLE | 1 | ||
| LELLA | 2 | ||
| MIGNOTTA | 1 | ||
| N.D. | 2 | ||
| NESSUNO/NO/N.D. | 3 | ||
| NON SO | 1 | ||
| NORMALI | 1 | ||
| PASSIVA | 3 | ||
| PASSIVA DEVOTA | 1 | ||
| PASSIVE | 1 | ||
| PAZZESCA | 1 | ||
| PRINCIPESSA | 1 | ||
| QUALIASI | 1 | ||
| REGINA DELLE FESTE | 1 | ||
| RISPETTO QUALSIASI DECISIONE | 1 | ||
| SAFFO | 1 | ||
| SFRANTA | 1 | ||
| SFRANTISSIME | 1 | ||
| SIGNORE | 1 | ||
| STRONZI | 1 | ||
| TESÒ | 1 | ||
| TESORO | 2 | ||
| TOMBOY | 1 | ||
| TORTI | 1 | ||
| TRATTA COME VORREBBE ESSERE TRATTATO | 1 | ||
| TREMENDA | 1 | ||
| TROIA | 3 | ||
| ZOCCOLA | 2 | ||
| Soprattutto uomo totale | 60 | ||
| Completamente uomo | A FROCI | 1 | |
| A KEKKA | 1 | ||
| AMICO | 1 | ||
| AMÒ | 2 | ||
| AMORE | 3 | ||
| BELLA | 3 | ||
| BITCH | 1 | ||
| CAGNA | 1 | ||
| CHECCA | 2 | ||
| COME CON TUTTI | 4 | ||
| COMUNITÀ LGBTIQ | 1 | ||
| CON EDUCAZIONE | 4 | ||
| CRETINA | 2 | ||
| DELLA FAMIGLIA | 1 | ||
| FROCI | 1 | ||
| FROCIO | 6 | ||
| GAY | 2 | ||
| GENERE CORRISPONDENTE | 1 | ||
| GENERE INVERTITO | 3 | ||
| LA FAMIGLIA | 1 | ||
| LÈ | 1 | ||
| LELLA | 5 | ||
| LELLACCIA | 1 | ||
| LESBICA | 1 | ||
| LESBICA DI MERDA | 1 | ||
| LESBICHE | 1 | ||
| N.D. | 3 | ||
| NESSUNO/NO/N.D. | 7 | ||
| NORMALI | 4 | ||
| PASSIVA | 2 | ||
| PAZZA | 1 | ||
| PER NOME | 1 | ||
| PERSONE | 1 | ||
| PUTTANA | 2 | ||
| QUALIASI | 2 | ||
| ROTTOINCULO | 1 | ||
| SCHERZOSI | 1 | ||
| SCHIETTI | 1 | ||
| SFRANTA | 2 | ||
| SISTER | 1 | ||
| SORELLA | 2 | ||
| TERMINI AMICHEVOLI | 1 | ||
| TESORO | 1 | ||
| TRANSESSUALI | 1 | ||
| TRANSGENDER | 1 | ||
| TROIA | 2 | ||
| ZOCCOLA | 2 | ||
| Completamente uomo totale | 90 | ||
| Soprattutto donna | A ROTTA ‘N CULO | 1 | |
| CON EDUCAZIONE | 1 | ||
| MAMI | 1 | ||
| SORELLA | 1 | ||
| TROIA | 1 | ||
| Soprattutto donna totale | 5 | ||
| Donna e uomo | COME TUTTI | 1 | |
| FROCI | 1 | ||
| GAY | 1 | ||
| LESBICHE | 1 | ||
| NON TERMINI OFFENSIVI | 1 | ||
| OMOSESSUALI | 1 | ||
| TERMINI APPROPRIATI | 1 | ||
| Donna e uomo totale | 7 | ||
| Donna e uomo (gioco di parti: Rocco/Vanessa) | A FROCI | 1 | |
| AL FEMMINILE | 1 | ||
| MUSCOLOSA | 1 | ||
| PASSIVA | 1 | ||
| Donna e uomo (gioco di parti: Rocco/Vanessa) Totale | 4 | ||
| Totale complessivo | 176 |
2) F di nascita (i risultati sono stati sottoarticolati tenendo conto delle risposte alla domanda Come ti senti?)
| COME SI SENTE | ALLOCUZIONI | TOTALE |
| Donna | N.D. | 1 |
| Donna Totale | 1 | |
| Né donna né uomo | NORMALI | 1 |
| Né donna né uomo totale | 1 | |
| Non so/soprattutto donna | NESSUNO/NO/N.D. | 1 |
| Non so/soprattutto donna totale | 1 | |
| Normale: donna | TERMINI UMANI/NORMALI | 1 |
| Normale: donna totale | 1 | |
| Tutto | QUALIASI | 1 |
| Tutto totale | 1 | |
| Soprattutto uomo | FROCETTI | 1 |
| FROCIO | 1 | |
| GAY | 2 | |
| LELLA | 1 | |
| LESBICA | 2 | |
| N.D. | 1 | |
| NESSUNO/NO/N.D. | 1 | |
| PER NOME | 1 | |
| TOLLERANZA E RISPETTO | 1 | |
| Soprattutto uomo totale | 11 | |
| Soprattutto donna | AMICO | 1 |
| BISESSUALE | 1 | |
| CAMION | 1 | |
| CAMIONELLA | 1 | |
| CAMIONISTA | 1 | |
| CHECCA | 2 | |
| CHECCA ISTERICA | 1 | |
| CHECCA REPRESSA | 1 | |
| CHECCA SFRANTA | 1 | |
| CHECCHE ESAURITE | 1 | |
| COL CULO A PIZZO | 1 | |
| DELLA PARROCCHIA | 3 | |
| DELLA STESSA PARTE DELLA LUNA | 1 | |
| FROCETTO | 2 | |
| FROCI | 1 | |
| FROCIO | 3 | |
| GAY | 5 | |
| GAYETUDO | 1 | |
| GENERE INVERTITO | 1 | |
| IN FAMIGLIA | 1 | |
| ISTERICA | 1 | |
| LELLA | 7 | |
| LESBICA | 3 | |
| LESBICACCIA | 1 | |
| LESBICOZZA | 1 | |
| NESSUNO/NO/N.D. | 5 | |
| NON ESISTONO TERMINI | 1 | |
| NORMALI | 2 | |
| OMOSESSUALI | 1 | |
| ORSETTO | 1 | |
| PASSIVA | 3 | |
| PER NOME | 1 | |
| QUALIASI | 2 | |
| SCHECCARE | 1 | |
| SPONDA | 1 | |
| STI FROCI DE MMERDA | 1 | |
| TENDENZE | 1 | |
| VECCHIA FROCIA | 1 | |
| Soprattutto donna totale | 64 | |
| Donna e uomo | AH FIGHE | 1 |
| AMÒ | 1 | |
| COLLEGHI | 1 | |
| COME TUTTI | 1 | |
| CORDIALMENTE | 1 | |
| FRATELLO | 1 | |
| FROCIA | 1 | |
| GLI STESSI PER TUTTI | 1 | |
| LE PARROCCHIANE | 1 | |
| LELLA | 1 | |
| NESSUNO/NO/N.D. | 1 | |
| NOME GEN INV | 1 | |
| NORMALI | 2 | |
| PER NOME | 1 | |
| PERSONE ARCOBALENO | 1 | |
| QUALIASI | 1 | |
| QUELLI DI SEMPRE | 1 | |
| SORELLA | 1 | |
| Donna e uomo totale | 19 | |
| Completamente donna | AMICO | 1 |
| AMORE | 1 | |
| BISEX | 1 | |
| CAMIONELLE | 1 | |
| CAMIONISTE | 1 | |
| CHECCA | 1 | |
| CHECCHE | 1 | |
| COME CON TUTTI | 1 | |
| FINOCCHI | 1 | |
| FROCI | 2 | |
| FROCIO | 8 | |
| FROCIO DI MERDA | 1 | |
| GAY | 12 | |
| GAYA | 1 | |
| GLI STESSI PER TUTTI | 2 | |
| INTERSESSUALI | 1 | |
| KEKKA | 1 | |
| LELLA | 13 | |
| LELLACCIA | 2 | |
| LELLE | 4 | |
| LESBICA | 5 | |
| LESBICAZZE | 1 | |
| LESBICHE | 5 | |
| LESBICHE DI MERDA | 1 | |
| LGBTQI IN AVVICINAMENTO | 1 | |
| N.D. | 3 | |
| NESSUNO/NO/N.D. | 4 | |
| NORMALI | 3 | |
| OMO | 1 | |
| OMOSESSUALI | 2 | |
| OMOSEX | 1 | |
| PASSIVA | 1 | |
| PAZZA | 1 | |
| PER NOME | 3 | |
| PUTTANA | 1 | |
| RICCHIONE | 1 | |
| RISPETTOSI DA UMANO | 1 | |
| SCHERZOSI | 1 | |
| SORELLA | 1 | |
| TESORO | 1 | |
| TRANS | 1 | |
| TRANSESSUALI | 1 | |
| TRANSGENDER | 1 | |
| TROIA | 2 | |
| Completamente donna totale | 99 | |
| Donna aperta ad ogni tipo di discorso | NORMALI | 1 |
| Donna aperta ad ogni tipo di discorso totale | 1 | |
| Credo completamente donna | BELLA CI’ | 1 |
| NON FARE LA CHECCA | 1 | |
| Credo completamente donna Totale | 2 | |
| Soprattutto uomo credo, non lo so, non sono sicura | NORMALI | 1 |
| Soprattutto uomo credo, non lo so, non sono sicura totale | 1 | |
| Totale | 202 |
3) Sesso di nascita non dichiarato (i risultati sono stati sottoarticolati tenendo conto delle risposte alla domanda Come ti senti?)
| COME SI SENTE | ALLOCUZIONI | TOTALE |
| Completamente Uomo | PER NOME | 1 |
| Completamente uomo totale | 1 | |
| Totale | 1 |
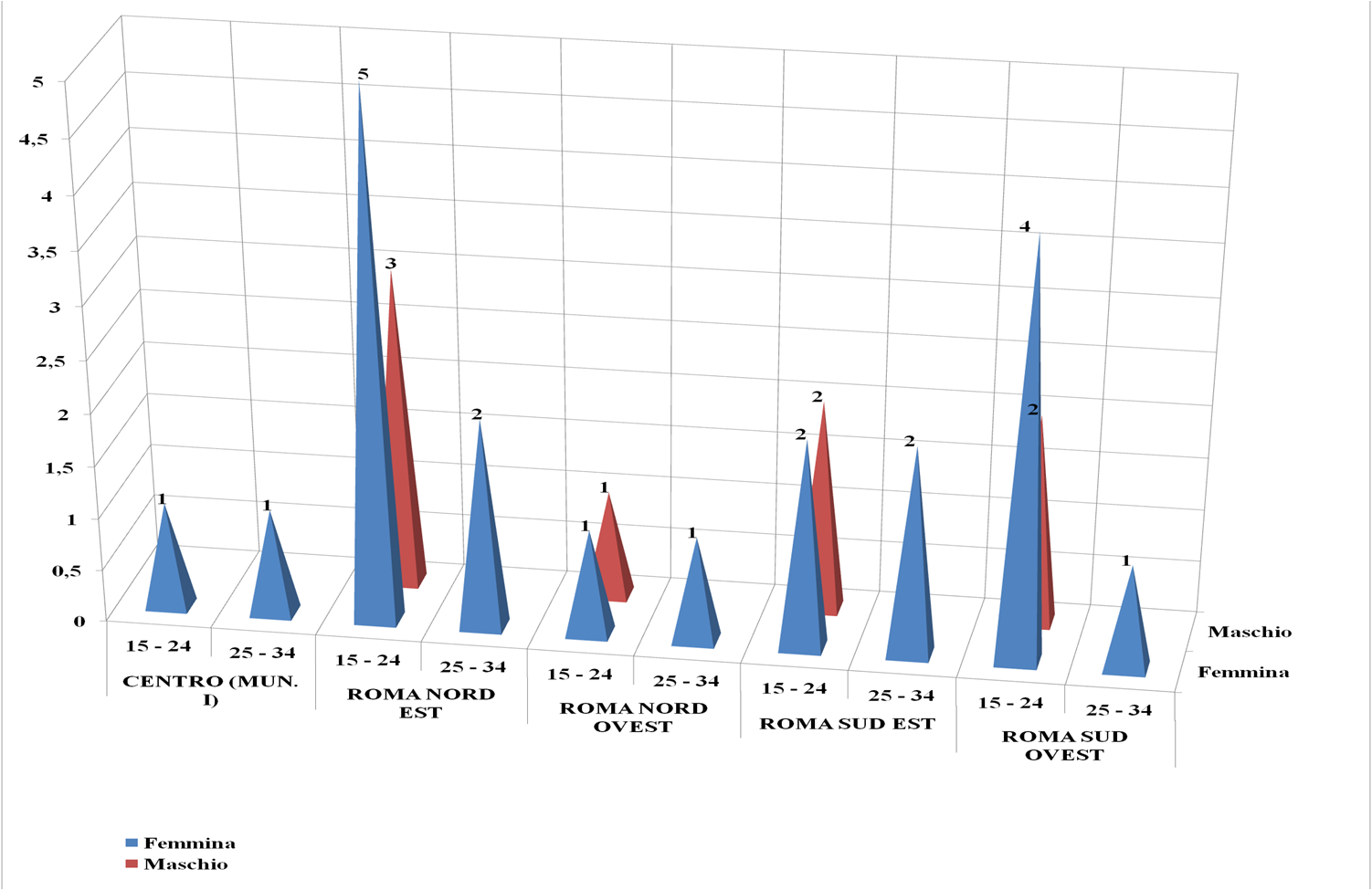
I dati sono stati successivamente incrociati con la zona di residenza dell’intervistato; nel caso della città di Roma in una delle zone in cui è stata ripartita (centro per il I municipio, relativo al centro storico, e 4 quadranti per tutta l’area urbana interna al GRA o ad esso adiacente ma comunque compresa in uno dei municipi capitolini).
LE CARATTERISTICHE “GAYE”
L’ultima batteria di dati presa in esame è riferita ai soli gay.
Si è chiesto agli informanti di indicare se fossero a conoscenza dell’esistenza di una tassonomia interna al gruppo gay (domanda 24. Conosci dei gay? Secondo te esistono delle caratteristiche che li accomunano o li differenziano tra loro? Se sì, quali sono?).
Di ciascun sottogruppo è richiesta anche una definizione di massima (che per lo più siè riportata letteralmente).
- Admirer: ammiratore, fa riferimento alle sottocategorie bear: è un uomo a cui piacciono gli orsi, quindi gli uomini pelosi; egli può essere sia magro sia grosso
- Attivi/Passivi/e: quando si parla di sessualità, tra i gay più diffusamente che tra le lesbiche, generalmente più versatili, fa riferimento al ruolo sessuale assunto durante i rapporti intimi.
- Bear/orsi: uomo peloso grosso o magro. Caratterizzato da “la barba, pelosi(abbastanza), un po’ di pancetta; camicie a quadri. In contrapposizione ai fashion. Infatti, importante per la comunità ursina è la rielaborazione, se non proprio il rifiuto, di elementi e di stereotipi dell’immaginario gay maggioritario.
- Cacciatori: una persona gay attratta dagli orsi.
- Checche: ‘che esagerano /isteriche/isteriche esibizioniste’
- Emo: nessuna definizione
- Fashion: chi segue la moda
- Finocchiette: portano pantaloni attillati, appizzatissimi (un po’ come femmine)
- Leather: persone che amano l’abbigliamento in pelle, gomma, uniforme
- Maschili: nessuna definizione
- Muscolose/i: sinonimo di palestrata/o
- Normali: nessuna definizione
- Sportivi: in genere sono tutti curati, fanno sport, dieta alimentare sana, frequentano locali a tema
- Tranquille (easy): omologati meno a un sottogruppo, che vivono come individui. Espressione ambigua, si pensa faccia riferimento alla postura e nel modo di camminare
LE CARATTERISTICHE “LELLE”
Il gruppo delle lesbiche nell’immaginario della comunità GLBTQIA prevede solo una ripartizione in due categorie
- mascoline
- femminili
Fa eccezione il solo evergreen, impiegato per le ragazze che si vestono come ragazzi quindicenni. Si tratta però di un hapax. Questa ripartizione non rispecchia quella, assai più articolata, diffusa in rete dalle stesse lesbiche (http://lezpop.it/le-sei-lesbiche-da-incontrare-prima-di-morire/)
CONCLUDENDO
L’impiego di allocutivi per riferirsi ai membri della comunità GLBTQIA rilevato all’interno della comunità (ingroup) non si distacca da quanto emerso per le modalità censite per la comunità etero (interviste, internet, letteratura di vario genere).
Rimandando ad altra sede una disamina completa della distribuzione delle forme per identikit di parlanti, ci si limiterà a evidenziare gli incroci più significativi giacché relativi ai termini più ricorrenti e trasversali (nonché comuni ai membri esterni alla comunità): gay, frocio, lesbica, lella.
Alcuni incroci
Distribuzione di frocio in base a residenza, fascia di età e sesso di nascita
Distribuzione di gay in base a residenza, fascia di età e sesso di nascita
Distribuzione di lella in base a residenza, fascia di età e sesso di nascita
Distribuzione di lesbica in base a residenza, fascia di età e sesso di nascita










